ZTE Communications ›› 2026, Vol. 24 ›› Issue (1): 25-33.DOI: 10.12142/ZTECOM.202601005

• Special Topic • Previous Articles     Next Articles

Carrier Frequency Offset Based Robust Radio Frequency Fingerprint for OFDM Communication in Time-Varying Channels

Liu Gengyi1, Pan Yijin1, Wang Junbo1(), Chen Yijian2, Yu Hongkang2   

  1. 1.National Mobile Communications Research Laboratory, Southeast University, Nanjing 211111, China
    2.Wireless Product Research and Development Institute, ZTE Corporation, Shenzhen 518057, China
  • Received:2025-01-11 Online:2026-03-25 Published:2026-03-17
  • About author:Liu Gengyi received his BS degree from the School of Information Science and Engineering, Southeast University, China in 2022, where he is pursuing his ME degree. His research interests include reconfigurable intelligent surfaces (RIS), mmWave communications, and radio frequency fingerprint (RFF) identification.
    Pan Yijin received her BS and MS degrees in communication engineering from Chongqing University, China in 2011 and 2014, respectively, and PhD degree from the School of Information Science and Engineering, Southeast University, China in 2018, where she is currently an associate professor. She was a recipient of Royal Society Newton International Fellowship (2019–2021), UK. Her research focuses on key technologies for future communication networks, specifically for edge intelligence-enhanced communication schemes. She serves as a reviewer and a TPC member for prestigious international journals and conferences.
    Wang Junbo (jbwang@seu.edu.cn) received his BS degree in computer science from Hefei University of Technology, China in 2003 and PhD degree in communications engineering from Southeast University, China in 2008. From October 2008 to August 2013, he was with Nanjing University of Aeronautics and Astronautics, China. From February 2011 to February 2013, he was a post-doctoral fellow with the National Laboratory for Information Science and Technology, Tsinghua University, China. Since August 2013, he has been an associate professor with the National Mobile Communications Research Laboratory, Southeast University. From October 2016 to September 2018, he was awarded the Marie Skłodowska-Curie Actions Fellowships and a worked as a research fellow with the University of Kent, UK. His current research interests include cloud radio access networks, mmWave communications, and wireless optical communications.
    Chen Yijian graduated from Central South University, China. He is currently working at ZTE Corporation. His research interests include reconfigurable intelligent metasurfaces, extremely large-scale MIMO technology, and electromagnetic information theory.
    Yu Hongkang received his BS degree from Beijing Jiaotong University, China in 2016 and PhD degree from Peking University, China in 2021. He is currently an engineer with ZTE Corporation. His current research interests include mmWave, massive MIMO, and channel estimation.
  • Supported by:
    ZTE Industry?University?Institute Cooperation Funds(IA20240723011);National Natural Science Foundation of China(62371123);Young Elite Scientists Sponsorship Program of the Beijing High Innovation Plan(20251077);Research Fund of National Mobile Communications Research Laboratory, Southeast University(2023A03)

Abstract:

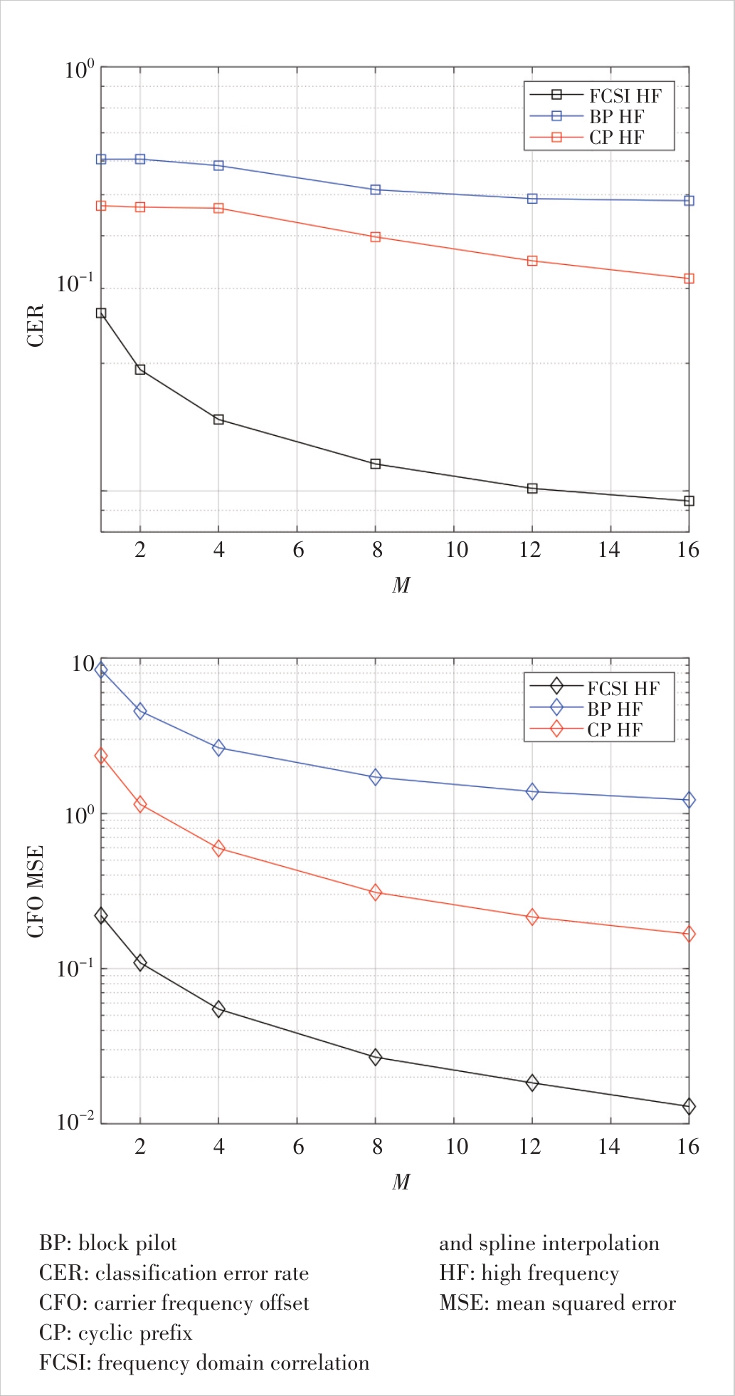
The radio frequency (RF) fingerprint technique is a robust method for security enhancement of the physical layer by leveraging the unique RF imperfections inherent in various wireless devices. Among these imperfections, the carrier frequency offset (CFO) stands out as a primary RF fingerprint (RFF) of the transmitter, offering the potential to distinguish among different transmitters. However, accurately estimating CFO in time-varying channels poses significant challenges due to multipath effects and Doppler shifts. In this paper, we focus on estimating CFO for wireless device identification in the orthogonal frequency division multiplexing (OFDM) communication system. To achieve precise CFO estimation under time-varying channels, we propose a frequency domain correlation and spline interpolation (FCSI) algorithm. This approach utilizes pilots distributed across different subcarriers to correlate with prior local sequences, facilitating accurate CFO estimation. Classification is then performed based on the Euclidean distance between the prior RFF and the tested RFF dataset. Simulation results demonstrate that the proposed M-consecutive average method effectively reduces the classification error rate in the challenging high-frequency (HF) skywave channel environment.

Key words: RF fingerprint, RF identification, carrier frequency offset, time-varying channels, OFDM