ZTE Communications ›› 2025, Vol. 23 ›› Issue (4): 48-64.DOI: 10.12142/ZTECOM.202504007
• Special Topic • Previous Articles Next Articles
CAI Jinhan, ZAN Mingyuan, SHEN Gangxiang(
)
Received:2025-09-17
Online:2025-12-22
Published:2025-12-22
About author:CAI Jinhan received his BE degree from Nanjing University of Science and Technology Zijin College, China in 2021 and MS degree in information and communication engineering from Soochow University, China in 2024, where he is currently pursuing his PhD degree with the School of Electronic and Information Engineering. His research interests include passive optical networks and fiber-wireless access networks.Supported by:CAI Jinhan, ZAN Mingyuan, SHEN Gangxiang. QoS-Aware Energy Saving Based on Multi-Threshold Dynamic Buffer for FTTR Networks[J]. ZTE Communications, 2025, 23(4): 48-64.
Add to citation manager EndNote|Ris|BibTeX
URL: https://zte.magtechjournal.com/EN/10.12142/ZTECOM.202504007
| Scenario Settings | |||
|---|---|---|---|
| Number of SFUs | 2/3/4/5 | Number of Stations per SFU | 2 |
| Traffic Settings | |||
| VO data rate | 30 Mbit/s | VI data rate | 30 Mbit/s |
| BE data rate | 30 Mbit/s | BK data rate | 30 Mbit/s |
| Packet size | 1 500 B | Traffic duration | 1 s |
| EDCA Settings | |||
| Access category | CWmin | CWmax | AIFSN |
| VO | 3 | 7 | 2 |
| VI | 7 | 15 | 3 |
| BE | 15 | 1 023 | 6 |
| BK | 15 | 1 023 | 9 |
Table 1 Simulation scenario, traffic, and EDCA parameter settings
| Scenario Settings | |||
|---|---|---|---|
| Number of SFUs | 2/3/4/5 | Number of Stations per SFU | 2 |
| Traffic Settings | |||
| VO data rate | 30 Mbit/s | VI data rate | 30 Mbit/s |
| BE data rate | 30 Mbit/s | BK data rate | 30 Mbit/s |
| Packet size | 1 500 B | Traffic duration | 1 s |
| EDCA Settings | |||
| Access category | CWmin | CWmax | AIFSN |
| VO | 3 | 7 | 2 |
| VI | 7 | 15 | 3 |
| BE | 15 | 1 023 | 6 |
| BK | 15 | 1 023 | 9 |
| Parameter | Value | Parameter | Value | Parameter | Value |
|---|---|---|---|---|---|
| 1 | 1.2 | 0.8 | |||
| 0.6 | 6 | 0.2 | |||
| 5 m | 1 dB | 3 dBi | |||
| 5 GHz | 15 dB | 0 | |||
| 23 dBm | 2 402 Mbit/s | -40 dBm | |||
| 10 | 0.4 | 0.6 | |||
Table 3 Parameter settings for the power consumption model
| Parameter | Value | Parameter | Value | Parameter | Value |
|---|---|---|---|---|---|
| 1 | 1.2 | 0.8 | |||
| 0.6 | 6 | 0.2 | |||
| 5 m | 1 dB | 3 dBi | |||
| 5 GHz | 15 dB | 0 | |||
| 23 dBm | 2 402 Mbit/s | -40 dBm | |||
| 10 | 0.4 | 0.6 | |||
| Parameter | VO | VI | BE | BK |
|---|---|---|---|---|
| Latency requirement/ms | 2 | 10 | 30 | 50 |
| Initial buffer threshold/kB | 3 | 30 | 60 | 100 |
| Step size (decrease/increase)/(kB/ms) | 2/1 | 2/1 | 2/1 | 2/1 |
| Consecutive cycle threshold (cycle) | 10 | 5 | 5 | 5 |
| Maximum buffer threshold/kB | 100 | 200 | 500 | 1 000 |
| Single threshold buffer/kB | 196 | |||
| Physical buffer constraint /MB | 32 | |||
Table 4 Buffer threshold parameter settings
| Parameter | VO | VI | BE | BK |
|---|---|---|---|---|
| Latency requirement/ms | 2 | 10 | 30 | 50 |
| Initial buffer threshold/kB | 3 | 30 | 60 | 100 |
| Step size (decrease/increase)/(kB/ms) | 2/1 | 2/1 | 2/1 | 2/1 |
| Consecutive cycle threshold (cycle) | 10 | 5 | 5 | 5 |
| Maximum buffer threshold/kB | 100 | 200 | 500 | 1 000 |
| Single threshold buffer/kB | 196 | |||
| Physical buffer constraint /MB | 32 | |||
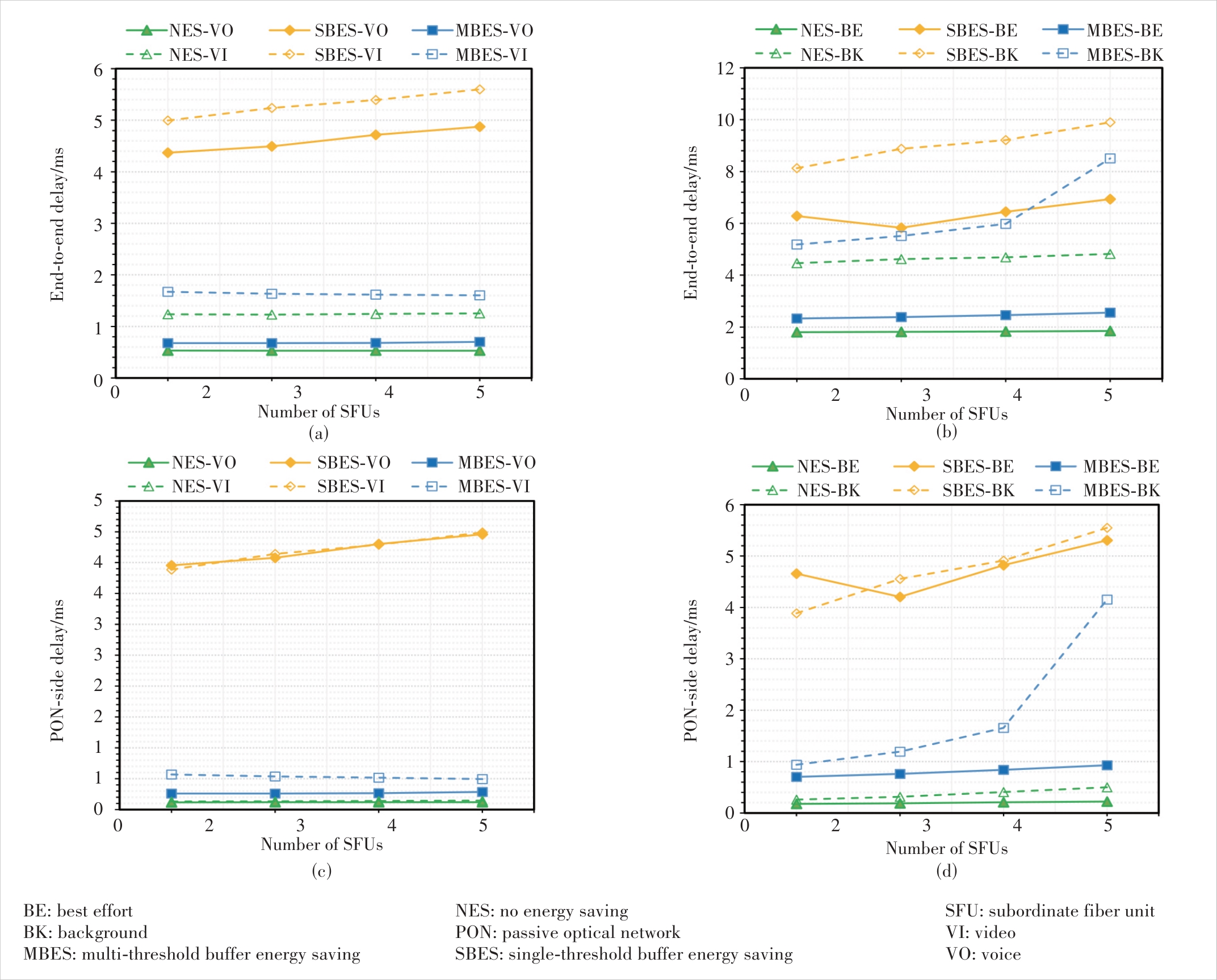
Figure 5 Average system latency under the NES, SBES, and MBES schemes (STA=2): (a) end-to-end latency of high-priority services, (b) end-to-end latency of low-priority services, (c) optical-side latency of high-priority services, and (d) optical-side latency of low-priority services
Figure 6 System energy consumption under the NES, SBES, and MBES schemes (STA=2): (a) FTTR system energy consumption and(b) average SFU energy consumption
Figure 7 System energy consumption with a 10 Gbit/s uplink rate under the NES, SBES, and MBES schemes (STA=2): (a) FTTR system energy consumption and (b) average SFU energy consumption
Figure 8 System latency under the NES, SBES, and MBES schemes (SFU=2): (a) end-to-end latency of high-priority services, (b) end-to-end latency of low-priority services, (c) optical-side latency of high-priority services, and (d) optical-side latency of low-priority services
Figure 9 System energy consumption under the NES, SBES, and MBES schemes (SFU=2): (a) FTTR system energy consumption and(b) average SFU energy consumption
Figure 10 System latency and energy consumption under dynamic and fixed buffer thresholds: (a) latency comparison and(b) energy consumption comparison
| [1] | MAROTTA A, VALCARENGHI L, KONDEPU K, et al. Fiber to the room challenges and opportunities [C]//The 16th International Conference on COMmunication Systems & NETworkS (COMSNETS). IEEE, 2024: 1139–1142. DOI: 10.1109/COMSNETS59351.2024.10427248 |
| [2] | ETSI. Fifth Generation Fixed Network (F5G); F5G generation definition release #1 [S/OL]. (2020-12-10)[2025-09-10]. |
| [3] | ZHANG D C, ZHU J L, LIU X, et al. Fiber-to-the-room: a key technology for F5G and beyond [J]. Journal of optical communications and networking, 2023, 15(9): D1–D9. DOI: 10.1364/JOCN.485070 |
| [4] | Broadband Development Alliance. White paper on fiber to the room (FTTR) [R/OL]. [2025-09-10]. |
| [5] | CAI J H, SHEN G X, LI J, et al. Is fiber-to-the-room (FTTR) green? Modeling and analysis of power and energy consumption [J]. IEEE transactions on green communications and networking, 2025, 9(2): 522–535. DOI: 10.1109/TGCN.2024.3447874 |
| [6] | ITU-T. G.984.3: gigabit-capable passive optical networks (G-PON): transmission convergence layer specification [S/OL]. [2025-09-10]. |
| [7] | ITU-T. G.987.3: 10-Gigabit-capable passive optical networks (XG-PON): transmission convergence (TC) layer specification [S/OL]. [2025-09-10]. |
| [8] | ITU-T. G.9804.2: higher speed passive optical networks—common transmission convergence layer specification [S/OL]. [2025-09-10]. |
| [9] | ITU-T. High speed fibre-based in-premises transceivers-data link layer [S/OL]. (2024-07-05)[2025-09-10]. |
| [10] | YAN Y, WONG S W, VALCARENGHI L, et al. Energy management mechanism for Ethernet passive optical networks (EPONs) [C]//IEEE International Conference on Communications. IEEE, 2010: 1–5. DOI: 10.1109/ICC.2010.5502659 |
| [11] | SHI L, MUKHERJEE B, LEE S S. Energy-efficient PON with sleep-mode ONU: progress, challenges, and solutions [J]. IEEE network, 2012, 26(2): 36–41. DOI: 10.1109/MNET.2012.6172273 |
| [12] | ZHANG J J, ANSARI N. Toward energy-efficient 1G-EPON and 10G-EPON with sleep-aware MAC control and scheduling [J]. IEEE communications magazine, 2011, 49(2): s33–s38. DOI: 10.1109/MCOM.2011.5706311 |
| [13] | BUTT R A, AKHUNZADA A, FAHEEM M, et al. Enhanced energy savings with adaptive watchful sleep mode for next generation passive optical network [J]. Energies, 2022, 15(5): 1639. DOI: 10.3390/en15051639 |
| [14] | ZIN A M, IDRUS S M, RAMLI A, et al. Performance evaluation of XG-PON with DBA based-watchful sleep mode [C]//The 7th International Conference on Photonics (ICP). IEEE, 2018: 1–3. DOI: 10.1109/ICP.2018.8533168 |
| [15] | LAMBERT S, LANNOO B, DIXIT A, et al. Energy efficiency analysis of high speed triple-play services in next-generation PON deployments [J]. Computer networks, 2015, 78: 68–82. DOI: 10.1016/j.comnet.2014.10.037 |
| [16] | DHAINI A R, HO P H, SHEN G X, et al. Energy efficiency in TDMA-based next-generation passive optical access networks [J]. IEEE/ACM transactions on networking, 2014, 22(3): 850–863. DOI: 10.1109/TNET.2013.2259596 |
| [17] | SHAH NEWAZ S H, CUEVAS A, LEE G M, et al. Evaluating energy efficiency of ONUs having multiple power levels in TDM-PONs [J]. IEEE communications letters, 2013, 17(6): 1248–1251. DOI: 10.1109/LCOMM.2013.043013.122648 |
| [18] | ZIN A M, IDRUS S M, ISMAIL N A, et al. Determination of optimized sleep interval for 10 gigabit-passive optical network using learning intelligence [J]. International journal of electrical and computer engineering (IJECE), 2022, 12(3): 2663. DOI: 10.11591/ijece.v12i3.pp2663-2671 |
| [19] | IEEE. IEEE standard for information technology—telecommunications and information exchange between systems local and metropolitan area networks—specific requirements part 11: wireless lan medium access control (MAC) and physical layer (PHY) specifications amendment 1: enhancements for high-efficiency WLAN (802.11ax-2021) [S/OL]. [2025-09-10]. |
| [20] | LORINCZ J, CAPONE A, BEGUŠIĆ D. Heuristic algorithms for optimization of energy consumption in wireless access networks [J]. KSII transactions on Internet and information systems, 2011: 626–648. DOI: 10.3837/tiis.2011.04.001 |
| [21] | PACK S, CHOI Y. An adaptive power saving mechanism in IEEE 802.11 wireless IP networks [J]. Journal of communications and networks, 2005, 7(2): 126–134. DOI: 10.1109/JCN.2005.6387860 |
| [22] | GARROPPO R G, NENCIONI G, PROCISSI G, et al. The impact of the access point power model on the energy-efficient management of infrastructured wireless LANs [J]. Computer networks, 2016, 94: 99–111. DOI: 10.1016/j.comnet.2015.11.018 |
| [23] | SILVA P, ALMEIDA N T, CAMPOS R. A comprehensive study on enterprise Wi-Fi access points power consumption [J]. IEEE access, 2019, 7: 96841–96867. DOI: 10.1109/ACCESS.2019.2928754 |
| [24] | DEMBÉLÉ H, TOHME E, COLIN R. Assessing and modeling the energy consumption of PoE-powered WiFi access point [J]. IEEE access, 2023, 11: 74796–74804. DOI: 10.1109/ACCESS.2023.3295689 |
| [25] | NISHIYAMA H, TOGASHI K, KAWAMOTO Y, et al. A cooperative ONU sleep method for reducing latency and energy consumption of STA in smart-FiWi networks [J]. IEEE transactions on parallel and distributed systems, 2015, 26(10): 2621–2629. DOI: 10.1109/TPDS.2014.2360405 |
| [26] | CHOWDHURY P, TORNATORE M, SARKAR S, et al. Building a green wireless-optical broadband access network (WOBAN) [J]. Journal of lightwave technology, 2010, 28(16): 2219–2229. DOI: 10.1109/JLT.2010.2044369 |
| [27] | HAN P C, GUO L, LIU Y J, et al. Joint wireless and optical power states scheduling for green multi-radio fiber-wireless access network [J]. Journal of lightwave technology, 2016, 34(11): 2610–2623. DOI: 10.1109/JLT.2016.2529644 |
| [28] | SCHÜTZ G, CORREIA N. Design of QoS-aware energy-efficient fiber-wireless access networks [J]. Journal of optical communications and networking, 2012, 4(8): 586–594. DOI: 10.1364/JOCN.4.000586 |
| [29] | ISLAM M M, FUNABIKI N, SAHA M, et al. An improvement of throughput measurement minimization method for access-point transmission power minimization in wireless local-area network [C]//International Conference on Consumer Electronics (ICCE-TW). IEEE, 2019: 1–2. DOI: 10.1109/ICCE-TW46550.2019.8991715 |
| [30] | LELIGOU H C, LINARDAKIS C, KANONAKIS K, et al. Efficient medium arbitration of FSAN-compliant GPONs [J]. International journal of communication systems, 2006, 19(5): 603–617. DOI: 10.1002/dac.761 |
| [31] | Huawei Technologies Co., Ltd. Huawei OptiXstar V173 Datasheet 01 [DB/OL]. (2023-05-15)[2025-09-10]. |
| [32] | Huawei Technologies Co., Ltd. Huawei OptiXstar K153 Datasheet 01 [DB/OL]. [2025-09-10]. |
| [33] | DHAINI A R, HO P H, SHEN G X. Toward green next-generation passive optical networks [J]. IEEE communications magazine, 2011, 49(11): 94–101. DOI: 10.1109/MCOM.2011.6069715 |
| [34] | ZHANG J, LIU J, XIANG L, et al. Full-link AoI analysis of uplink transmission in next-generation FTTR WLANs [C]//Proceedings of IEEE 97th Vehicular Technology Conference (VTC2023-Spring). IEEE, 2023: 1–7. DOI: 10.1109/VTC2023-Spring57618.2023.10200633 |
| [1] | CHEN Zhe, ZHOU Peigen, WANG Long, HOU Debin, HU Yun, CHEN Jixin, HONG Wei. FTTR-MmWave Architecture for Next-Generation Indoor High-Speed Communications [J]. ZTE Communications, 2025, 23(4): 16-26. |
| [2] | ZHANG Yang, CEN Zihan, ZHAN Wen, CHEN Xiang. C-WAN for FTTR: Enabling Low-Overhead Joint Transmission with Deep Learning [J]. ZTE Communications, 2025, 23(4): 65-76. |
| [3] | LIU Zhuang, GAO Yin, LI Dapeng, CHEN Jiajun, HAN Jiren. Enabling Energy Efficiency in 5G Network [J]. ZTE Communications, 2021, 19(1): 20-29. |
| [4] | Shengmei Luo, Xue Li, Yiai Jin, Zhixin Sun. An Improved Wireless Sensor Network Routing Algorithm [J]. ZTE Communications, 2015, 13(3): 51-56. |
| Viewed | ||||||
|
Full text |
|
|||||
|
Abstract |
|
|||||