ZTE Communications ›› 2025, Vol. 23 ›› Issue (4): 3-9.DOI: 10.12142/ZTECOM.202504002

• Special Topic • Previous Articles     Next Articles

PON Monitoring Scheme Based on TGD-OFDR with High Spatial Resolution and Dynamic Range

ZHU Yidai1, FAN Xinyu2(), ZHU Songlin1, DONG Jiaxing2, LI Guoqiang1, HE Zuyuan2   

  1. 1.Wireline Product Planning Department, ZTE Corporation, Shanghai 201203, China
    2.School of Electronic Information and Electrical Engineering, Shanghai Jiao Tong University, Shanghai 200240, China
  • Received:2025-08-15 Online:2025-12-25 Published:2025-12-22
  • About author:ZHU Yidai received his BS degree in optoelectronic science and engineering from the University of Electronic Science and Technology of China in 2020, and PhD degree in information and communication engineering from Shanghai Jiao Tong University, China in 2025. He joined the Wireline Product Planning Department, ZTE Corporation in 2025. His research interests include optical communications and optical sensing applications.
    FAN Xinyu (fan.xinyu@sjtu.edu.cn) received his BS and MS degrees in applied physics from Shanghai Jiao Tong University, China in 2000 and 2003, respectively, and PhD degree in electrical engineering from the University of Tokyo, Japan in 2006. In the same year, he joined the NTT Access Network Service Systems Laboratories, Japan, where his research interests included optical reflectometry and optical measurement. Since 2012, he has been with the Department of Electrical Engineering, Shanghai Jiao Tong University, where he is currently a Professor. His research interests include optical fiber sensing technology, optical fiber measurement, and fiber-related applications.
    ZHU Songlin received his MS degree in theoretical physics from Hangzhou University, China in 1998 and PhD degree in electronic science and technology from Zhejiang University, China in 2001. He joined the Wireline Product Planning Department, ZTE Corporation in 2001. His research interests include FTTx technology for optical communications and OTDR technology for optical sensing applications.
    DONG Jiaxing received his BS degree in electronic information and electrical engineering from Shanghai Jiao Tong University, China in 2024. He is currently working toward the master's degree at the School of Integrated Circuits, Shanghai Jiao Tong University. His research focuses on optical fiber sensors.
    LI Guoqiang received his BS degree in electronic information engineering from Wuhan University, China in 2019 and PhD degree in electromagnetic field and microwave technology from Fudan University, China in 2024. He joined the Wireline Product Planning Department, ZTE Corporation in 2024. His research interests include digital signal processing for optical communications and OTDR technology for optical sensing applications.
    HE Zuyuan received his BS and MS degrees in electronic engineering from Shanghai Jiao Tong University, China in 1984 and 1987, respectively, and PhD degree in photonics from the University of Tokyo, Japan in 1999. He joined CIENA Corporation, USA in 2001, as a Lead Engineer, where he headed the optical testing and optical process development group. He returned to the University of Tokyo as a Lecturer in 2003, and then became an Associate Professor in 2005 and a Full Professor in 2010. He is now a Chair Professor and Head of the Department of Electronic Engineering at Shanghai Jiao Tong University. His current research interests include optical fiber sensors, specialty optical fibers, and optical interconnects.
  • Supported by:
    ZTE and Shanghai Jiao Tong University Collaborative Laboratory(IA20241205014)

Abstract:

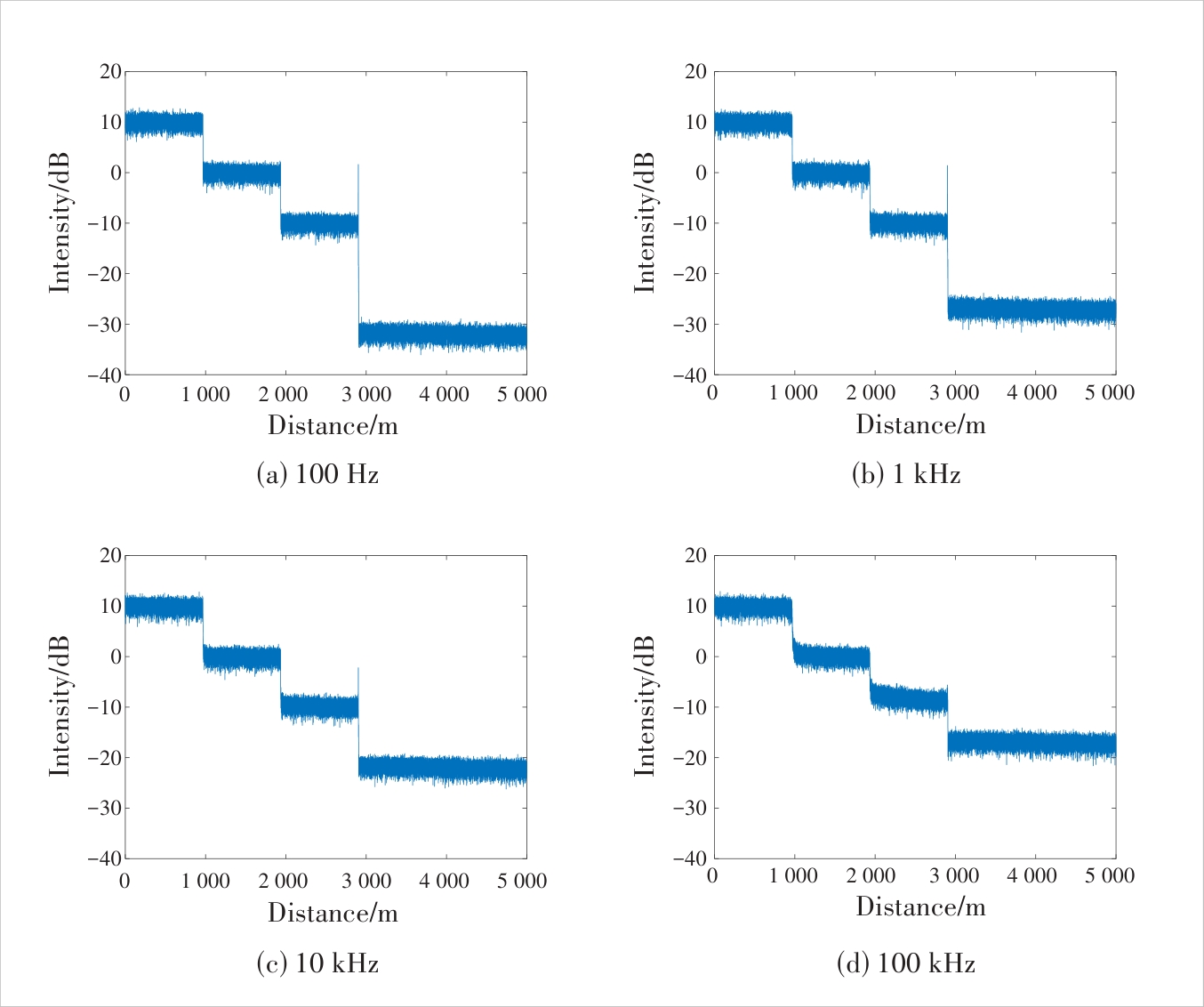
Conventional optical time-domain reflectometry (OTDR) schemes for passive optical network (PON) link monitoring are limited by insufficient dynamic range and spatial resolution. The expansion of PONs, with increasing optical network units (ONUs) and cascaded splitters, imposes even more stringent demands on the dynamic range of monitoring systems. To address these challenges, we propose a time-gated digital optical frequency-domain reflectometry (TGD-OFDR) system for PON monitoring that effectively decouples the inherent coupling between spatial resolution and pulse width. The proposed system achieves both high spatial resolution (~0.3 m) and high dynamic range (~30 dB) simultaneously, marking a significant advancement in optical link monitoring.

Key words: passive optical network (PON), time-gated digital optical frequency-domain reflectometry (TGD-OFDR), dynamic range, spatial resolution